Curso de Cálculo Numérico

Professor Raymundo de Oliveira

| C.N. | Programa | Exercícios | Provas | Professor | Links |

Exercícios do Capítulo VI

Integração

1-Calcular a integral abaixo pelos métodos dos trapézios e de Simpson, dividindo-se o intervalo [1,2] em 4 partes iguais e estimando-se o erro máximo cometido em cada caso.(3.5 pontos)

2-Calcular a integral abaixo, pelo método de Simpson, com erro inferior a 0,0001 .

3-Calcular a integral dupla abaixo, com nx=ny=4. ( Simpson e Trapézios )

3 4

S S(1/xy)dx dy

1 2

4-No cálculo de uma integral, pelo método de Simson, usa-se 10 intervalos, obtendo-se o valor A e, em seguida, usa-se 20 intervalos, obtendo-se o valor B. Calcule uma valor melhor que esses dois.

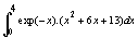
5-Calcular a integral abaixo, pelo método de Simpson, dividindo-se o intervalo [0 , 4] em 4 partes iguais. Determine, ainda, a cota superior do erro cometido. ( use três casas decimais com arredondamento )

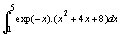
6-Calcular a integral abaixo, pelo método de Simpson, dividindo-se o intervalo [1 , 5] em 4 partes iguais. Determine, ainda, a cota superior do erro cometido. ( use três casas decimais com arredondamento )

7-Calcular , sendo S a região limitada pelas curvas y=x2 e y=x, x Î [0,1].Usar o método de Simpson, com nx = ny = 4.

 

8-Calcular , sendo S a região limitada pelos segmentos de reta y=2*x, x Î [0,0.5], y=1, x Î (0.5,1] e y=x, x Î [0,1].Usar o método de Simpson, com nx = ny = 4.

 

 

  | C.N. | Programa | Exercícios | Provas | Professor | Links |